您的當前位置:首頁 > 產品知識 > 更多產品知識 > 球荷的循環次數
作者:紅星機器 發布時間:2017-06-21 17:57:38
鋼球受力而產生運動,在分析這種運動過程中,描述了鋼球的軌跡。研究鋼球運動學的目的,在于建立決定轉速、裝球率、有用功率和生產率的基礎。從鋼球產生的磨礦作用來看,這些都必然與鋼球對礦石的沖擊次數有關。
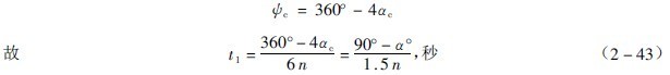
磨機一直是作圓運動的,但其中的鋼球的運動軌跡,一部分是圓曲線,另一部分是拋物線。因此,磨機轉一轉,鋼球的運動未必也就是一個循環。從圖3-2-10可以看出,鋼球從脫離點A真拋到落回點B,比圓運動快,因而鋼球總是超前的,換句話說,磨機轉一轉時,鋼球不只循環運動一次。設%"是鋼球作圓運動的時間,當磨機轉一轉時,用同樣速度作圓運動的鋼球轉過的圓心角為
,因此
![]()
由公式(2-38)可知

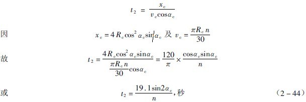
設t2為鋼球作拋物落下的時間,取Ac點為坐標原點,則

從而鋼球運動一個循環需要的時間為
![]()
磨機轉一轉鋼球的循環次數于是為
![]()
由此式可知:鋼球的循環次數取決于脫離角ac。當磨機轉速不變時,不同的球層有不同的脫離角,它的循環次數也不同。磨機的轉速越高,ac越小,循環次數也越少。到了鋼球離心化時,ac=0,J=1,鋼球貼在襯板上與磨機一起轉動。
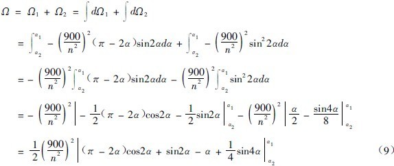
再從全部球荷來看,如圖3-2-13,在磨機轉一周的時間內,沿圓形軌跡經過斷面AB的球的體積為
![]()
此處的L為磨機長:K=![]()
設
為裝球率,磨機內裝球的體積為
。如果磨機轉一轉,全部鋼球循環J次,則

于是 ![]()
公式(2-20),指明
,所以R2(或由它算出的K)的值依從轉速n而有一極限值。超過此極小值,多加的那些球就不能作拋物落下。所以上式中的J,既與裝球率
有關,又通過K值而與磨機的轉速有關。如圖3-2-14表示的情況。圖中曲線說明:轉速率越大的,在同樣裝球率下,K值也越大,J值卻較小。如果轉速率相同,裝球率越多,K值越小,J值卻較大。這就是轉速、裝球量和影響沖擊量的鋼球循環次數的相互關系,從而況明了正確決定磨機轉速的重要性。〔附〕圖3-2-9中K、
和
的關系式的證明裝球率(
)與球荷切面積(
)的關系為
![]()
球荷切面積包含作圓曲線運動的切面積(
1)和作拋物線運動的切面積(
2)兩部分,即
![]()
故須先求出
1和
2。
如下圖,任取一球層,它的半徑是R,此層球從落回點B作圓運動到脫離點A經歷的圓弧所對的圓心角
為
![]()
當球層半徑的變化為dR時,弧形面積的變化為
![]()
因
則
![]()
于是

球荷作拋物線運動的微分球荷截面積為:
![]()
式中的
為筒體的角速度,t2為球在拋物線軌跡上運動的時間,
![]()
故

球荷截面積因此為

因![]()
故![]()
將此式代入公式(1)后,得到
![]()
下面作一例題說明公式(11)的用法。
例:設磨機直徑為D,它的每分鐘轉數是
,試用公式(11)計算它的K、
和
的對應值。
解:計算此種題目的步驟如下:
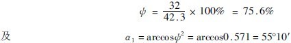
1.根據
從給定的
值算出a1;
2.因必須a2>a1,依次選取任意角a2;
3.由于角a1和a2用公式(11)算出
;
4.根據算出
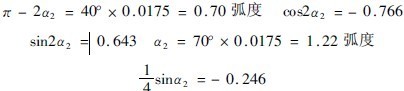
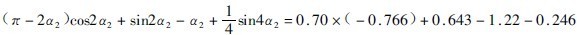
由題中給的數據,求得:


![]()
![]()
選取a2為70。進行計算。

![]()
![]()



上一篇:礦石自磨與礫磨工藝技術及設備
下一篇:決定磨機轉速的方法
如果您想了解我們的產品,可以隨時撥打我公司的銷售熱線或點擊咨詢!![]()
推薦閱讀
TOP169鄂破機價格及型號參數鄂破機
TOP257鄂破機一小時能產多少噸物料鄂破機
TOP3時產1000噸石料生產線設備有哪些?多少錢?石料生產線價格
TOP4140圓錐破時產多少石子圓錐破 圓錐破碎機
TOP5小型碎沙機多少錢一臺?碎石機
TOP6一套碎石機大概需要多少錢碎石機
TOP7生產雷蒙磨粉機(雷蒙磨)的廠家磨粉機
TOP8每小時產200噸的石子破碎機多少錢一臺?破碎機
TOP969破碎機一小時處理多少立方石子?破碎機 69顎式破碎機
TOP101060顎破型號有哪些?什么價?顎破 顎式破碎機
TOP11時產500噸石子生產線配置方案_廠家報價生產線
TOP12銷量較好的雷蒙磨粉機型號有哪些雷蒙磨粉機
換一換 ![]()
想讓資深工程師為您設計生產方案?想獲取全套設備優惠報價單?請留言,專業經理即刻開始為您一對一服務!(不用擔心信息泄露,我們將為客戶提供信息保密服務!)
來廠考察即可獲取資深工程師為您設計方案
多機型現貨可選,簽訂合同,2天內發出
售后團隊親臨現場,指導設備安裝、試車,完成交付
跟蹤砂場運營情況,提供生產運營指導,保障砂場快速盈利
河南紅星礦山機器有限公司 總部地址:中國鄭州高新技術產業開發區檀香路8號
工程師免費設計方案已有162位獲得心儀的方案
算一算 搭配一條合適的生產線需要多少錢?
點擊獲取報價